ИЗУЧЕНИЕ НЕОДНОРОДНОСТИ ГЕОЛОГИЧЕСКОГО СТРОЕНИЯ НЕФТЕГАЗОНОСНЫХ РАЗРЕЗОВ
В.Н. Устинова, В.Г. Устинов, И.В. Данилов, Д.К. Волков (ТГУ)
Нефтегазовые месторождения юго-востока Западно-Сибирской плиты хорошо изучены геофизическими методами и бурением. Сложность вторичных преобразований пород в коллекторах и вмещающих породах в связи с нефтегазонасыщением не всегда позволяет построить адекватные геологической ситуации физико-геологические модели залежей УВ. Однако детальные исследования керна, результаты каротажа скважин показывают, что в нефтегазоносных разрезах выявляются резкие изменения плотности пород и интервальной скорости, которые увязываются с нефтегазоносными отложениями, характеризуют их.
В пределах Нюрольской впадины, где отложения чехла продуктивны в широком стратиграфическом диапазоне, проведен значительный объем поискового и разведочного бурения. Средняя глубина скважин 3-4 км. Залежи УВ сосредоточены в основном на глубине 3-4 (в палеозойских отложениях) и 2-3 км (в юрских отложениях). Наиболее крупные залежи УВ приурочены к отложениям васюганской свиты, к песчаным пластам-коллекторам, индексируемым Ю11-Ю14 редко Ю10, Ю15, Ю16, Ю2. В отложениях тюменской свиты - это небольшие по размерам залежи в песчаных пластах Ю3-Ю14 (индексация пластов СНИИГГиМСа, принятая при подсчете запасов). В палеозойских отложениях залежи УВ связаны с эрозионно-тектоническими выступами фундамента. На месторождениях, расположенных на восточном борту Нюрольской впадины, в разбуренной части разреза проведен детальный анализ изменения плотностных и скоростных параметров по вертикали.
В пределах ряда детально изученных месторождений (Нижнетабаганское, Северо-Калиновое, Калиновое, Северо-Останинское, Урманское, Южно-Тамбаевское) выявлен ряд неоднородностей в распределении плотностных и скоростных параметров по разрезам продуктивных скважин, связанных с юрскими залежами и залежами УВ в приповерхностной части фундамента. Исследован характер этих неоднородностей в связи с фазовым составом залежей УВ и мощностью коллекторов, определено влияние тектонической трещиноватости на размеры зон неоднородностей и степень вторичных изменений пород в их пределах.
Наличие залежей УВ в палеозойских отложениях либо юрской толще обычно сопровождается общим понижением скорости вдоль всего ствола исследуемой скважины (Устинова В.Н., 1989). Относительные отрицательные аномалии скоростей в интервале юрских отложений достигают 200-300 м/с, реже более и зависят от числа продуктивных пластов в разрезе и их мощности (мощность изменяется от 3-5 до 10, реже 15-20 м).
Изменение скорости в продуктивных скважинах в первую очередь обусловлено понижением упругих свойств пород в контуре залежи УВ, а также во вмещающих (перекрывающих) залежь породах (в зоне диффузионно-фильтрационного проникновения УВ) как в результате консервирующих свойств УВ, так и вследствие вторичных процессов, происходящих в залежах УВ и "ореолах вторжения УВ” и ведущих к разуплотнению минерального скелета породы [2, 5].
Профили интервальных скоростей по данным АК, сейсморазведки МОГТ и значений плотности, измеренных по керну, для юрских отложений Нижнетабаганского, Западно-Останинского, Северо-Останинского и Северо-Калинового месторождений приведены на рис. 1.
Результаты измерений наглядно иллюстрируют изменение интервальных скоростей отложений аалена (включая песчаные пласты Ю14-Ю11), байос-бата (песчаные пласты Ю10-Ю5) и келловей-оксфорда (песчаные пласты Ю4-Ю1). На Нижнетабаганском месторождении максимальные изменения интервальной скорости выявлены в скв. 16, где относительная отрицательная аномалия скорости интенсивностью до 400 м/с наблюдается в отложениях келловей-оксфорда, продуктивных по пластам Ю1 и Ю3 (таблица). В отложениях байос-бата интенсивность относительной отрицательной аномалии скорости несколько ниже (около 350 м/с), так как они продуктивны в верхней части - по пласту Ю5, из пласта получен относительно невысокий дебит нефти.
Понижение скорости в отложениях аалена до 300 м/с обусловлено, вероятно, наличием небольшой залежи УВ в низах тюменской свиты, не опробованной на нефтегазонасыщение. С палеозойскими отложениями это изменение скорости не связано, так как по результатам испытаний залежей УВ в палеозое не обнаружено.
В скв. 3 Нижнетабаганского месторождения также наблюдается общее понижение скорости в юрских, ааленских, байос-батских отложениях, кроме келловей-оксфордских. Относительная отрицательная аномалия скорости в интервале юры по данным АК (по сравнению с аномалиями в скв. 4 и 10) меньше, чем в скв. 16 и составляет 300 м/с. Аномалия значений скорости в скв. 3 вызвана в основном наличием залежи УВ в палеозойских отложениях (см. таблицу). Малые значения общего аномального понижения интервальной скорости в разрезе юры в скв. 4 и 10 объясняются отсутствием залежи УВ в палеозое (скв. 10) и невысокой продуктивностью разреза (скв. 4), а также расположением скв. 4 и 10 в слабонарушенных (по результатам изучения тектонической трещиноватости) зонах. Аномалия значения скорости в разрезе скв. 16 выявляется в отложениях неокома, перекрывающих юрский комплекс, что обусловлено высоким дебитом газа по результатам испытаний пласта
Аномалии значений средней интервальной скорости в юрской толще и разрезах аалена, байос-бата и келловей-оксфорда до 300 м/с в скв. 21, 23 и 25 Северо-Калиновой площади (см. рис. 1) связаны с нефтегазоносностью палеозойских отложений и нефтегазоносностью отложений юры по пластам Ю1, Ю2, Ю6. Залежи УВ в палеозойском фундаменте на Западно-Останинской и Северо-Останинской площадях проявляются в наличии относительных отрицательных аномалий плотности и значений интервальной скорости по данным сейсморазведки. На Западно-Останинской площади аномалии значений интервальной скорости отмечаются вплоть до верхов мела, при этом максимальной интенсивности они достигают в близрасположенных к залежам юрских отложениях.
Анализ размеров зон диффузионно-фильтрационного проникновения УВ над залежами разного фазового состава в пределах Северо-Калинового и Нижнетабаганского месторождений показывает, что размер “ореола вторжения УВ” резко возрастает при увеличении дебита, причем сильнее над продуктивными интервалами с высокими дебитами нефти (см. таблицу). Увеличение газовой фракции в залежах УВ приводит к незначительным увеличениям размеров зоны “ореола вторжения УВ”, при этом может резко вырасти интенсивность относительной отрицательной аномалии интервальной скорости. Например, на Нижнетабаганском месторождении в скв. 10 - залежь пласта Ю6, в скв. 16 - залежь пласта Ю3, в скв. 4 - палеозойская залежь; на Северо-Калиновом месторождении в скв. 21 - палеозойская залежь, в скв. 25 - залежь пласта Ю6 (см. таблицу).
Однако размеры зон “ореолов вторжения УВ" в скв. 3, 10, 16 Нижнетабаганского месторождения и в скв. 21 Северо-Калинового месторождения значительно больше “ореолов вторжения УВ" в соседних с ними скважинах, близких по продуктивности. Важным фактором, оказывающим заметное влияние на размеры зон диффузионно-фильтрационного проникновения УВ (достаточно контрастно проявляющихся в физических полях, т.е. подвергнутых интенсивным вторичным изменениям в УВ “столбе” над залежью) и степень сохранности залежей УВ является тектоническая трещиноватость. Авторы данной статьи по палеоповерхности верхнеюрских отложений для Калиновой, Северо-Калиновой, Солоновской и восточного участка Нижнетабаганской площадей построили схему расположения тектонических трещин (рис. 2) с указанием их ранга в соответствии с классификацией С.С. Шульца (1973), Н.Д. Павлова (1989) по данным сейсморазведки с использованием метода трассирования соосных уступов.
Так как скв. 3, 10 и 16 Нижнетабаганского месторождения лежат вблизи зон тектонических трещин северо-восточного и северо-западного простираний III порядка и субмеридионального простирания I порядка (см. рис. 2), увеличение интенсивности относительных отрицательных аномалий для всей юрской толщи и внутри толщи, вероятно, связано с повышением тектонической трещиноватости в разрезах этих скважин. Значительное повышение интенсивности относительных отрицательных аномалий скорости в скв. 21 Северо-Калинового месторождения при малых значениях дебитов нефти и газа также связывается с повышенной тектонической трещиноватостью в разрезе скв. 21, так как она лежит вблизи узла пересечения тектонических трещин III порядка северо-восточного и меридионального простираний. Высокая интенсивность относительных отрицательных аномалий скоростей в зонах “ореолов вторжения УВ” скв.3, 10 16 (Нижне- табаганское месторождение) и 21 (Северо-Калиновое) может быть объяснена понижением степени сохранности залежей. Коэффициенты сохранности залежей УВ и тектонической трещиноватости пород по керну в этих скважинах не определялись. По результатам визуального анализа в керне выявляются трещины разной природы (тектонические, кливажные и др.). Роль тектонических трещин в сохранности залежей контрастно проявляется на Калиновом месторождении. Продуктивность установлена только в слабодислоцированных блоках Калинового поднятия (скв. 5, 7, 9, 10, 12, 16, 18, 20). Скважины, расположенные непосредственно в зонах трещиноватости I, II порядков либо близ узлов пересечения тектонических трещин (в том числе, III порядка), пустые (скв. 2, 3, 6, 11, 14, 15, 30).
Имеющиеся данные об интенсивности дислокационных напряжений разного направления на исследуемой нефтегазоносной территории [1,4] позволяют считать, что значения трещиноватости максимальны в зонах тектонических трещин I и II порядков. В большинстве случаев в зонах трещин I и II порядков на месторождениях Пудинского мегавала и Нюрольской впадины нефтегазопроявление в продуктивных горизонтах отсутствует. Тектоническая трещиноватость III порядка способствует частичному расформированию залежей, что проявляется в увеличении зон “ореолов вторжения УВ” над залежами в 1,5-2,0 раза. Так, скв. 5, 11, 19, 23 Нижнетабаганского месторождения, скв. 28 Северо-Калинового месторождения, расположенные в зонах тектонической трещиноватости I, II порядков либо в зонах пересечения тектонических трещин III порядка, пустые (см. рис. 2); в скв. 21 Северо-Калинового месторождения и скв. 16 Нижнетабаганского месторождения наблюдается увеличение размеров зон ореолов вторжения УВ” при близкой продуктивности залежей в близлежащих скважинах (скв. 23, 25 Северо-Калинового месторождения; скв. 10 Нижнетабаганского месторождения). Вероятно, высокая тектоническая трещиноватость юрских отложений в этих скважинах способствовала более быстрому, чем на участках отсутствия такой трещиноватости, расформированию залежей. Такое предположение подтверждается результатами исследований специалистов СНИИГГиМСа (Еханин А.В., 1990), согласно которым степень сохранности залежей УВ в Центральном Приобье понижается в южном направлении, т.е. в сторону к изученным месторождениям.
В ходе исследований установлено, что тектоническая трещиноватость оказывает заметное влияние на сохранность залежей УВ и формирование зон диффузионно-фильтрационного потока УВ, а основными факторами, определяющими размеры и интенсивность аномалий геофизических параметров в зонах “ореолов вторжения УВ”, являются: мощность продуктивного коллектора, степень его нефтегазонасыщения, фазовый состав залежи УВ, тектоническая трещиноватость в пределах залежи и ее ранг.
На Урманском, Южно-Тамбаевском месторождениях продуктивны в основном палеозойские отложения (см. таблицу).
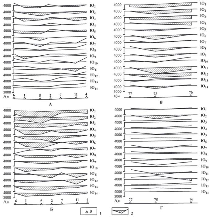
Все пробуренные на Урманском, Южно-Тамбаевском месторождениях скважины по данным КМПВ находятся в зоне повышенных граничных скоростей по горизонту Ф (кровля палеозойских отложений) (рис. 3), что связано с развитием доломитов в палеозойских отложениях [3], однако интервальные скорости по ГИС (рис. 4, см. таблицу) в контуре нефтегазоносности Урманского месторождения (скв. 1, 2, 5, 11) значительно ниже, чем за его пределами (скв. 4, 6). Так как граничная скорость характеризует 200-300-м толщу пород под преломляющей границей (Гамбурцев Г.А., 1952), положительная аномалия граничных скоростей на участке подтверждает наличие доломитов, а относительная отрицательная аномалия интервальных скоростей (см. рис. 4), осложняющая эту аномалию, свидетельствует о наличии в их приповерхностной (поверхность палеозойских отложений) части залежей УВ.
Вертикальные размеры относительных отрицательных аномалий интервальных скоростей в низах тюменской свиты, обусловленные палеозойскими залежами УВ в скв. 1, 2, 5, 7 и 11 Урманского месторождения, различны (см. рис. 4, таблицу). Увеличение размеров и интенсивностей скоростных аномалий наблюдается в следующем порядке: скв. 7,2, 5, 11. Эта последовательность соответствует и последовательности увеличения дебитов УВ (и мощности продуктивных пластов от 6 до 10 м) из продуктивных интервалов, за исключением скв. 2, где дебиты УВ при больших размерах зоны “ореола вторжения УВ” самые низкие. Увеличение зоны “ореола вторжения УВ” в скв. 2 Урманского месторождения, как и в скв. 21 Северо-Калинового месторождения и скв. 16 Нижнетабаганского месторождения, может быть связано с влиянием тектонической трещиноватости, а также не выявленными интервалами продуктивности. Вблизи скважины расположено нарушение северо-восточного простирания III порядка. Обширная зона понижения значений скоростей в низах тюменской свиты в скв. 2 (до 80 м по АК и до 240 м при сопоставлении с соседними скважинами) обусловлена, вероятно, не только палеозойской залежью, но и залежью УВ в отложениях аалена или байос-бата (в верхах аалена пласты Ю11, Ю12 или в низах байос-бата пласт Ю10).
Залежи УВ в скв. 75 Южно-Тамбаевской площади также соответствует относительная отрицательная аномалия интервальной скорости в низах тюменской свиты (см. таблицу), ее интенсивность значительна и обусловлена высокопродуктивной залежью в палеозойских отложениях. Так как скв. 75 лежит внутри блока III порядка, вблизи тектонических трещин III порядка, тектоническая трещиноватостъ оказала определенное влияние на формирование коллекторов, проявилась и в размере зоны “ореола вторжения УВ”. Размеры зоны “ореола вторжения УВ” и значения дебита позволяют предположить, что для палеозойской залежи трещиноватость III порядка играет положительную роль, в том числе в нефтегазонасыщении залежи. Как и в некоторых продуктивных скважинах Северо-Калинового и Нижнетабаганского месторождений, в продуктивных скважинах Урманского и Южно-Тамбаевского месторождений наблюдается увеличение размеров “ореолов вторжения УВ” над залежами, содержащими газовые фракции (см. в таблице скв. 5, 11 Урманского месторождения, скв. 75 Южно-Тамбаевского месторождения).
В пределах Южно-Тамбаевского месторождения, кроме относительных отрицательных аномалий значений скорости в “ореоле вторжения УВ” палеозойской залежи скв. 75, выделены относительные отрицательные аномалии скорости (интервальные скорости по АК) в интервале пластов Ю11 Ю12 в скв. 75, 76, 77. Относительные отрицательные аномалии значений скорости в “ореолах вторжения УВ” как в песчаниках и алевролитах, так и в аргиллитах отмечаются на всех кривых АК, в том числе выявляются в интервальных скоростях для литологических разностей пород описанных месторождений. Над нефтегазонасыщенными коллекторами повышается изрезанность кривой скорости. Отклонения скорости для отдельных литологических разностей с 50-100 м/с в зонах, не подверженных вторичным изменениям, возрастают до 250-300 м/с в аномальных (нефтегазонасыщенных) зонах.
Сопоставление скоростных кривых для отложений ярусов (см. рис. 1) и для отдельных литологических разностей по материалам АК в скважинах Южно-Тамбаевского и Урманского месторождений (см. рис. 4) показало, что на поведение скоростных аномалий отложений ярусов заметное влияние оказывают мощности тех или иных литологических разностей пород и в первую очередь песчаных отложений. При увеличении мощности песчаных отложений увеличивается средняя скорость анализируемого интервала. Особенно контрастно это проявляется на скоростном профиле Северо-Калинового месторождения (см. рис. 1). Контрастное проявление интервальных изменений скорости в связи с нефтегазоносностью на попластовых графиках свидетельствует о том, что корреляционные схемы пластовых скоростей литологических разностей с учетом тектонической трещиноватости, ее ориентации и ранга в пределах прогнозной зоны с успехом могут быть применены при оценке степени сохранности залежей и выявлении нефтегазоперспективных зон.
Изучение скоростных аномалий на корреляционных схемах АК в результате раздельного анализа кривых для песчаных и глинистых разностей позволило выделить ряд зон (пласты Ю4, Ю7, Ю10 скв. 11; пласты Ю2, Ю3, Ю7 скв. 5; Ю9, Ю3, скв. 1 Урманского месторождения; пласт Ю12, скв. 76; Ю2, Ю7, Ю11 скв. 75 Южно-Тамбаевского месторождения), которые являются перспективными на обнаружение залежей УВ и рекомендованы к опробованию.
Конечно, изменчивость аномалий скоростей в нефтегазоносном разрезе связана с фациальным, гранулометрическим, петрографическим составом литологических разностей пород. Однако скоростные аномалии, вызванные этими неоднородностями, по интенсивности значительно ниже, чем те, которые обусловлены нефтегазонасыщением и вторичными процессами в контуре нефтегазоносности и ближайшем законтурном пространстве.
В результате проведенных исследований выявлен ряд особенностей в распределении скоростных параметров по разрезам нефтегазоносных скважин:
нефтегазонасыщенные песчаные пласты и зоны “ореолов вторжения УВ” залежей отмечаются относительными отрицательными аномалиями скоростей;
относительные отрицательные аномалии скоростей в зонах “ореолов вторжения УВ” наблюдаются как в песчаных, так и в глинистых разностях пород;
вертикальные размеры связанных с залежами УВ аномалий скоростей различны (от 50-100 до 250 м) и определяются мощностью, продуктивностью, фазовым составом залежей и интенсивностью тектонической трещиноватости в их пределах;
газовые залежи и залежи УВ, приуроченные к зонам повышенной тектонической трещиноватости III порядка, отличаются наиболее интенсивными аномалиями скоростей как в контуре нефтегазоносности, так и в перекрывающих породах.
Наличие мощных региональных (баженовская, георгиевская свиты - мощность глинистых отложений до 30 м), субрегиональных (нижневасюганская подсвита - мощность глинистых отложений до 15-20 м) и зональных (межугольная толща васюганской свиты - мощность глинистых пачек до 10-15 м) экранов в районе исследований способствует хорошей сохранности залежей и локализации контрастных по физическим свойствам “ореолов вторжения УВ” в областях близ залежей.
В результате проведенных исследований уточнена модель залежь УВ - вмещающие породы для территории исследований. Доказана связь относительных отрицательных аномалий интервальных скоростей и плотности с нефтегазонасыщением пород. Показана необходимость дифференцированного подхода к аномалиям скоростей с учетом степени тектонической трещиноватости пород в пределах изучаемых скважин.
Литература
1. Белозеров В.Б. Особенности формирования песчаных тел в среднеюрских отложениях юго-востока Западно-Сибирской плиты / В.Б. Белозеров, Е.Е. Даненберг, Н.П. Ковалев // Проблемы геологии и нефтегазоносности верхнепалеозойских и мезозойских отложений Сибири. - Новосибирск: Изд-во СНИИГГиМС, 1984.
2. Березкин В.М. Об изменении физических свойств пород в пределах нефтегазоносных структур / В.М. Березкин, Д.Б. Хавкина // Повышение геологической эффективности и практические способы интерпретации гравиразведочных работ. - М.: Недра, 1982.
3. Богачев С.Ф. Опыт комплексирования сейсмических и гравиметрических исследований при изучении палеозойских образований Западно-Сибирской плиты (на примере Нюрольского прогиба) / С.Ф. Богачев, Г.К. Автеньев, В.А. Канарейкин // Деп. в ВИЭМСе, 1985. - № 258.
4. Еханин Е.В. Мезозойские и кайнозойские тектонические движения Среднего Прииртышья по данным сейсморазведки / Е.В. Еханин, Е.И. Бенько // Тр. СНИИГГиМСа. - Новосибирск, 1979.
5. Зорькин Л.М. Прямые геохимические методы оценки нефтегазоносности локальных структур / Л.М. Зорькин, C.Л. Зубайраев, Н.В. Лопатин, Е.В Стадник, В.А. Строганов // Методы оценки нефтегазоносности локальных ловушек. - М.: Недра, 1981.
© Коллектив авторов, 2005
Density and rate parameters of rocks in interval of hydrocarbon saturation within the limits of hydrocarbon pools and in accommodating rocks by results of studying a core material and by logging data of boreholes are essentially unsteady. In productive reservoirs and in accommodating rocks is observed the downturn of rate and density properties of rocks at the expense of hydrocarbon saturation and secondary processes proceeding in reservoir under influence of hydrocarbons, most intensively - in fractured zones. Fracturing of planetary nature should be taken into account while creating geological model of hydrocarbon pools, as bringing a certain contribution to volumetric structure of the reservoir.
Таблица Размеры аномальных зон скоростей нал залежами УВ по данным ГИС
|
Месторождение |
Номер скважины |
Возраст, индекс пласта |
Дебит нефти через 8-мм штуцер, м3/сут |
Дебит газа, тыс. м3/сут |
Интенсивность аномалии скорости в “ореоле вторжения УВ”, м/с |
Размеры зоны “ореола вторжения УВ”, м |
|
Урманское |
1 |
PZ |
38,4 |
|
400-500 |
100 |
|
2 |
PZ |
2,6 |
|
250 |
80 |
|
|
5 |
PZ |
21,5 |
0,05 |
250-300 |
120 |
|
|
7 |
PZ |
20,7 |
|
250 |
60 |
|
|
11 |
PZ |
40,0 |
10,00 |
800-1000 |
240 |
|
|
11 |
PZ |
125,0 |
29,50 |
800-1000 |
240 |
|
|
Нижнетабаганское |
10 |
Ю6 |
0,7 |
9,90 |
200 |
100 |
|
Ю3 |
|
31,90 |
200 |
80 |
||
|
16 |
Ю1 |
|
173,80 |
150 |
110 |
|
|
Ю3 |
12,7 |
101,00 |
450 |
130 |
||
|
Ю5 |
1,4 |
|
350 |
100 |
||
|
3 |
PZ |
150,0 |
0,10 |
400 |
210 |
|
|
4 |
PZ |
22,0 |
41,30 |
400 |
70 |
|
|
Ю6 |
0,07 |
0,09 |
50 |
50 |
||
|
Ю3 |
13,0 |
0,19 |
70 |
60 |
||
|
Северо-Калиновое |
21 |
PZ |
13,4 |
29,00 |
250-300 |
70 |
|
Ю6 |
|
13,50 |
240 |
70 |
||
|
Ю2 |
|
5,10 |
210 |
60 |
||
|
23 |
PZ |
40,8 |
|
150-200 |
150 |
|
|
25 |
PZ |
123,5 |
2,94 |
200 |
70 |
|
|
Ю6 |
63,6 |
2,58 |
180 |
120 |
||
|
Ю1 |
|
66,10 |
150 |
150 |
||
|
24 |
PZ |
0,28 |
|
50-100 |
150 |
|
|
Южно-Тамбаевское |
75 |
PZ |
81,6 |
62,00 |
300 |
160 |
Рис. 1. ЛАТЕРАЛЬНАЯ ИЗМЕНЧИВОСТЬ СКОРОСТНЫХ И ПЛОТНОСТНЫХ СВОЙСТВ ОТЛОЖЕНИЙ В ПРЕДЕЛАХ НЕФТЕГАЗОНОСНЫХ СТРУКТУР ПО МАТЕРИАЛАМ СЕЙСМОРАЗВЕДКИ (А). КАРОТАЖУ СКВАЖИН (Б)
И РЕЗУЛЬТАТАМ ЛАБОРАТОРНЫХ ИССЛЕДОВАНИЙ (В) КЕРНА (данные З.А. Мышко, Г.Г. Зятева)

Отложения: 1 - байос-бата, 2- аалена. 3 - келловей-оксфорда. 4 - баженовской свиты: 5 - суммарная мощность песчаных тел юрской толщи (h): интервальные скорости между отражающими горизонтами: 6 - IIа и III. 7- Ia и III. 8- Ia и IIa (Vинт); 9- структурная поверхность отражающего горизонта IIa; скважины: 10 - непродуктивные, 11- продуктивные
Рис. 2. ТЕКТОНИЧЕСКАЯ ТРЕЩИНОВАТОСТЬ ПЛОЩАДЕЙ ПО РЕЗУЛЬТАТАМ МОРФОСТРУКТУРНОГО АНАЛИЗА

1 - глубокие скважины: а - продуктивные, б - с нефтепроявлениями, в - пустые; 2- стратоизогипсы по отражающему горизонту IIa, м; 3 - тектонические трещины I(а), II(б), III(в) порядков; площади: К - Калиновая, С-К - Северо-Калиновая, Н-Т - Нижнетабаганская, С - Солоновская; структурная карта на основе построений Г.И. Берлина
Рис. 3. ГРАНИЧНЫЕ СКОРОСТИ В ПРИПОВЕРХНОСТНОЙ ЧАСТИ ПАЛЕОЗОЙСКОГО ФУНДАМЕНТА ПО РЕЗУЛЬТАТАМ КМПВ В ПРЕДЕЛАХ ПУДИНСКОГО МЕГАВАЛА (по материалам Ф.Г. Гурари, С.Ф. Богачева)

1 - изоаномалы величин граничной скорости, км/с; 2- контуры локальных поднятий: С-К - Северо-Калиновое. Т - Тамбаевское. Н-Т -Нижнетабаганское, Г - Герасимовское. О - Останинское. З-О - Западно-Останинское, У - Урманское, К - Калиновое; 3 - спектры приращений граничной скорости в пределах локальной структуры
Рис. 4 КОРРЕЛЯЦИОННЫЕ СХЕМЫ СРЕДНИХ ПЛАСТОВЫХ СКОРОСТЕЙ В ПЕСЧАНЫХ (А, В) И ГЛИНИСТЫХ (Б,Г) ОТЛОЖЕНИЯХ УРМАНСКОГО И ЮЖНО-ТАМБАЕВСКОГО МЕСТОРОЖДЕНИИ

1 - скважины глубокого бурения; 2- попластовые относительные отрицательные аномалии значений интервальной скорости (по материалам С.М. Шевченко)