КАРТИРОВАНИЕ ПОТЕНЦИАЛЬНЫХ РЕСУРСОВ УГЛЕВОДОРОДОВ С ПОМОЩЬЮ МАТЕМАТИЧЕСКОГО АППАРАТА
А.А.Захаров, В.В.Иванов, Н.И.Кузнецов (ООО 'Севергазпром"), С.Л.Садов, Б.И.Тарбаев (ИСЭПС Коми НЦ УрО РАН)
Известно, что геолого-разведочные работы на нефть и газ далеко не всегда гарантируют желаемый успех. Процесс поисков залежей УВ можно рассматривать как весьма рискованную игру, сопряженную с возможными финансовыми потерями. Поэтому не случайно, что повышению достоверности прогноза открытия месторождений придается особое, приоритетное значение, а разработки по усовершенствованию методик прогнозирования, сулящие реальный экономический эффект, поощряются.
Для разъяснения дальнейших выкладок напомним классическое определение вероятности Р: “Вероятность - это, прежде всего, мера объективной возможности некоторого случайного события, которая измеряется отношением числа случаев, благоприятствующих данному событию, к общему числу благоприятствующих и неблагоприятствующих случаев” [1]. В зарубежной практике нередко используется близкое по смыслу, но не тождественное понятие шансов О [2], выражаемое отношением вероятности благоприятных и неблагоприятных событий:
О = P/(1-P). (1)
При геологическом картировании потенциальных ресурсов УВ вычисляется геометрическая вероятность, определяемая отношением геометрических мер (в нашем случае это площади). Если точка бросается на удачу в область Д, то вероятность ее попадания в какую-нибудь часть Д1 из области Д равна отношению площадей Д1 и Д. Таким образом, если рассматривать некоторую нефтегазоносную территорию как область О, а часть ее площади, в пределах которой выявлены залежи УВ, как q, то для этой территории вероятность выявления залежей составляет
Р=q/Q (2)
Геометрическая мера всей площади Q и ее части (области q) выражается в некоторых единицах измерения, например, в ячейках 1x1 км2. Их отношение по мере увеличения q (либо уменьшения Q) меняется от 0 до 1. Это означает, что когда изучаемая территория велика, а площадь, занятая полезным ископаемым, на порядок меньше, то вероятность может не превышать сотой доли от 1. В то же время, когда рассматриваются ограниченные участки, насыщенные залежами, значения вероятности могут достигать десятых долей единицы. Однако в обоих случаях вероятность будет объективно отражать природную ситуацию.
Геометрическая вероятность в полной мере отвечает классическому подходу интерпретации вероятности, когда результаты опытов известны наперед и в этом смысле ее вычисление может вызывать сомнение в практической полезности такой работы для прогнозирования результатов геологоразведки. Фактически дело обстоит иначе. Во-первых, вероятность вычисляется, будучи привязанной ко времени, и после получения новой информации может быть скорректирована с использованием принципа Байеса. В то же время динамика ее изменения будет свидетельствовать о степени привлекательности территории для инвестирования средств в геолого-разведочные работы. Во-вторых, новейшие теоретические разработки, реализованные для практического использования в виде эффективных алгоритмов, позволяют выполнять такую коррекцию без дополнительных дорогостоящих испытаний, к каковым относятся геофизические работы и бурение. Достигается это путем использования косвенных показателей и, в немалой степени, - выводов на основе интуитивистского подхода к интерпретации вероятности.
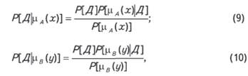
Вероятность обнаружения залежи УВ на некоторой территории служит одним из важнейших показателей ее привлекательности при инвестировании средств в геологоразведку, а сами вероятностные показатели, полученные после соответствующих исследований, непосредственно используются в экономических расчетах для объективной оценки предпринимательских альтернатив (Садов С.Л., Тарбаев Б.И., Ушанов В.В. и др., 2000). Для вычисления пространственного распределения вероятности обнаружения месторождений УВ в границах некоторой территории использован адаптированный нами к геологической специфике нефтегазоносных бассейнов алгоритм метода нечетких весов (Садов С.Л., Тарбаев Б.И., Вдовенко В.Л. и др., 2002; [4]). В основу его вычислительных процедур положены элементы теории нечетких (размытых) множеств, использование которых находит все более широкое применение в самых разных областях деятельности при решении задач в условиях неопределенности.
Метод нечетких весов [4] представляет собой новейшую модификацию, обобщение и развитие обычного весового метода, предназначенного для составления карт распределения вероятностей обнаружения полезного ископаемого [3]. Отличие нового подхода состоит в использовании двоичных или троичных моделей проявления изучаемого свойства и его субъективных оценок, нечетких множеств, определения конструкции нечеткой вероятности как модели для вычисления постериорной вероятности в каждом единичном элементе заданной площади. Метод может рассматриваться как гибридный, позволяющий пользоваться в равной степени и объективной и субъективной информацией при вычислении членов функции принадлежности, повышая тем самым объективность определения нечеткой вероятности.
При применении метода нечетких весов для картирования потенциальных признаков полезного ископаемого в целях интеграции карт различного типа возникает необходимость в конвертации присущих им показателей в двоичную или троичную форму под одним индексом, предсказывающим наличие залежи.
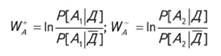
Бинарные или троичные модели обычно представляют признак (предсказатель) в понятиях присутствия или отсутствия, правды или ложности, предпочтительности или нет. При непрерывных наблюдениях, в частности геофизических, в процессе создания бинарной или троичной модели приходится прибегать к разделению показателя на два или три класса. Два веса - W+ и W- - означают присутствие или отсутствие признака и показывают меру корреляции между признаком и гипотезой существования месторождения полезного ископаемого.
Задача вычисления вероятности нахождения месторождения на основе отдельных признаков (предсказателей) решается с использованием нечетких множеств. Нечеткая функция может быть определена объективно, т.е. тем или иным способом вычислена, или субъективно, т.е. назначена, исходя из некоторых соображений. Нечеткая и условные вероятности определяются с помощью членов нечеткой функции, а затем пересчитываются в обычную вероятность. В конечном счете для каждого единичного элемента исследуемой площади, включающего одно наблюдение полезного ископаемого, можно, используя нечеткие признаки, с помощью линейной модели вычислить постериорную вероятность при соблюдении принципа условной независимости признаков.
Математическая модель метода нечетких весов определяется следующим образом. Предположим, что признак X имеет отношение к некоторому полезному ископаемому типа Д в точках его фиксации. X = {x1, х2, ... хn} может иметь вид дискретных величин или в случае непрерывной изменчивости будет подразделяться на классы. При потенциальном картировании некоторого полезного ископаемого X может отражать различные свойства, к примеру, состав пород, контрастность в свойствах между типами пород, их плотность, намагниченность и т.д. В большинстве статистических подходов при обработке и интерпретации дискретных величин, включая метод весов, варьирование в бинарной и троичной форме ограничивается рамками X. При необходимости оно может быть выражено более чем в трех классах.
Процедура создания
бинарной или троичной модели из X может быть представлена в понятиях теории
множеств: так, бинарная модель включает два подмножества
, причем
взаимно исключают друг друга).
Характеристики значений множества А могут рассматриваться как бинарные значения,
например, 1 для элемента А и 0 для элемента не-А.
В рамках вариационной стратегии выделяются два подмножества
. Но бинарная модель может не отвечать
природной ситуации, и тогда из X конструируется модель более, чем бинарная.
Предположим, что
имеется нечеткое множество
. Степень, с
которой каждый элемент х из X принадлежит А,
описывается как член функции µA(х) со следующими
свойствами:

Значения, близкие
1, показывают высокую вероятность того, что элемент х
принадлежит А. Нечеткое множество А
может рассматриваться как генерализованная форма обычного четкого множества в
том случае, если имеются только два значения -1 или 0. Тогда А
принадлежит к четкой бинарной модели со значением 1, указывающим на то, что
элемент х принадлежит А,
и значением 0, означающим принадлежность к![]()
Для удобства
обозначим через А1 и А2
подмножества
, обладающие
свойствами![]()
Специально
выделяется ситуация, когда
принимает три различных значения - 1; 0,5 и 0. Тогда
А представляет собой
троичную модель

Нечеткая
и условная вероятности нечеткого множества А
могут быть определены и обозначены как ![]()
Разбирая
вопрос в деталях, можно показать: обычные вероятности четких множеств A1 и
A2 будут
и
, причем
. В комбинации с членами нечеткой функции
нечеткая вероятность
нечеткого множества А
определятся в виде
![]()
Это следует понимать следующим образом:

Сходным
образом объединенная вероятность нечетких множеств А и В дается как
Для добавочного признака
нечеткого состояния В и его функции принадлежности
может быть дано
определение. Аналогично А
обозначим индексами B1 и В2
два нечетких множества, таких, что
![]()
Объединенная вероятность нечетких множеств А и В при условии их независимости определится как
![]()
Это будет справедливо, если и только если
![]()
Условная
вероятность нечеткого множества А
по отношению к Д
определяется как 
и аналогичным образом для нечеткого множества В

Уравнения Байеса применительно к рассматриваемой ситуации выглядят следующим образом:

а

и аналогично
![]()
Для случая с совместной условной вероятностью имеем аналогичное выражение
![]()
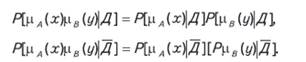
Чтобы вычислить веса признаков, необходимо убедиться в их независимости, и если два нечетких множества условно независимы по отношению к Д, то

Это эквивалентно предположению, что А (А1) и В (В1) условно независимы по отношению к Д. Тогда логарифмирование даст:
![]()
где


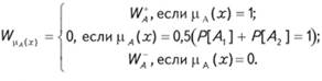
Постериорная вероятность может быть вычислена из приведенного линейного равенства (1):
![]()
Отметим, что W0 соответствует приорным шансам, а
- весам нечетких множеств А и В.
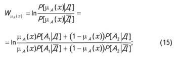
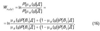
Вес
следует понимать
следующим образом:
(18)
Здесь веса сходны с теми, что можно вычислить обычным весовым методом

и аналогично для
признака В. Вес
- показатель присутствия, вес
- показатель отсутствия, 0 -
недостающий показатель. Как можно убедиться, это ни что иное, как специальная
ситуация, когда члены нечеткой функции ограничены тремя значениями: 1; 0,5 и 0.
Преимущество нового метода по сравнению с весовым заключается в несомненной
эволюции в смысле преодоления нежелательного фактора, связанного с
редуцированием информации.
В заключение можно отметить, что метод нечетких весов обеспечивает плавное уменьшение варьирования признаков и более точное вычисление постериорной вероятности, чем обычный весовой метод.
Залежи УВ лишь в редких случаях имеют проявления на земной поверхности. Однако существует достаточное число признаков, позволяющих делать обоснованные предположения об их наличии в недрах. Важнейшими являются выделенные по тем или иным показателям геологические объекты в виде характерных изгибов слоев, которые получают определение как структуры, либо такие комбинации напластований, которые рассматриваются как ловушки неструктурного типа. Наличие объектов служит побудительным мотивом к развертыванию геолого-разведочных работ, однако они не всегда гарантируют получение успеха: для скопления УВ необходимо поровое пространство - коллекторы и флюидоупоры, и если задача с выявлением объектов решается традиционными геолого-геофизическими методами, то относительно фильтрационно-емкостных свойств и покрышек обычно строятся предположения. К этому можно добавить, что и выявление самих объектов из-за недостатка либо низкого качества информации вызывает немалые трудности - в геологической практике достаточно часты ситуации, когда прогноз нефтегазоносности строится на основе косвенных признаков, включая сопутствующие геофизическим данным наблюдения из космоса, результаты геохимических исследований, различного рода предпосылки, вытекающие из анализа моделей пространственной изменчивости минерального состава продуктивных толщ. Такие признаки в той или иной степени могут рассматриваться в качестве предсказателей присутствия или отсутствия залежей УВ, и это обстоятельство открывает возможности для использования метода нечетких весов. Непременным условием применения этого метода является наличие на исследуемой территории хотя бы одного выявленного месторождения УВ.
Метод нечетких весов, как было показано, предназначен для уточнения приорной (исходной) вероятности и моделирования ее площадного распределения с целью выявления зон повышенной вероятности обнаружения залежей. При этом следует подчеркнуть, что выбор предсказателей сам по себе серьезная исследовательская работа, поскольку в каждом случае в зависимости от геологических условий они имеют определенную специфику и не могут рассматриваться как универсальные. Выполняя предварительный анализ с целью выделения предсказателей, не следует стремиться к увеличению их числа. Большое число может создать ложное впечатление повышенной объективности конечных результатов, в то время как это совсем не гарантировано в силу возможной и далеко не всегда лежащей на поверхности статистической зависимости между некоторыми из выбранных предсказателей. С этой точки зрения предпочтительно разумное ограничение числа параметров, рассматриваемых в качестве предсказателей (Садов С.Л., Тарбаев Б.И., Вдовенко В.Л. и др., 2002).
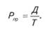
После выполнения геологического анализа территории и выбора предсказателей выполняется первая операция - составление исходной карты и карт предсказателей, их разбиение на элементарные ячейки, желательно квадратной формы (обычно 1x1 км2), и вычислительные процедуры для установления статистической независимости между признаками. В некоторых случаях, когда такая независимость очевидна и без проверки, эту операцию можно не выполнять. Отношение числа элементарных ячеек Д, оказавшихся в контурах обнаруженных месторождений (при условии, что ячейка, более чем наполовину оказавшаяся в контуре месторождения, считается полной и относится к Д), к общему числу ячеек исследуемой площади Т есть геометрическая приорная вероятность
![]()
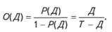
Поскольку последующие вычислительные процедуры предполагают использование вместо вероятности соотношение благоприятных и неблагоприятных исходов, следует применять формулу для шансов
![]()
Залежи УВ могут быть приурочены к различным нефтегазоносным комплексам и залегать на различной глубине, поэтому при вычислении постериорной вероятности возможны два варианта интерпретации: кумулятивный, когда залежи, находящиеся на различных глубинах и приуроченные к различным нефтегазоносным комплексам, проектируются на горизонтальную плоскость и вариант литолого-стратиграфического среза, когда рассмотрению подлежит некоторая продуктивная толща. Как в первом, так и во втором случае, предсказатель фиксируется в виде набора элементарных ячеек на соответствующей карте, которая накладывается на исходную.
Рассмотрим порядок
и содержание операций вычисления карты постериорной вероятности на модельном
примере, приближенном к реальным условиям одной из областей Тимано-Печорского
нефтегазоносного бассейна, где в качестве предсказателей А1, А2 рассматривается карта локальных аномалий
поля силы тяжести, а в качестве предсказателей В1, В2 - карта изменчивости минерального состава
продуктивной толщи (рисунок.). Для предсказателей выполнена
необходимая в таких случаях процедура оценки условной независимости [3]. С этой
целью использована статистика Колмогорова-Смирнова для восьми комбинаций
показателя
, вычисляемых по
формулам

где N(...) - площадь области перекрытия предсказателей, измеренная в элементарных ячейках;
- условная
вероятность А1В1 по Д
и аналогично для остальных семи комбинаций; Т -
общее число элементарных ячеек.
Это позволяет вычислить показатель условной независимости
![]()
распределенный как χ2 с двумя степенями свободы, где Xi - площадь области, в которой наблюдается соответствующая комбинация А, В и Д.
В толще выявлено четыре месторождения. Приорная вероятность Р = 0,04. К показателю “присутствия” А1 по условию отнесена площадь, заключенная в замкнутом контуре положительной локальной аномалии силы тяжести, в той или иной степени совпадающей с поднятием типа купол, к А2 - показателю “отсутствия” - площадь в пределах замкнутого контура отрицательной аномалии, в общих чертах совпадающего с локальной впадиной. Территория, оказавшаяся за пределами зон A1 и A2, исходя из принятой троичной модели, по показателю функции принадлежности определена как μA(х) = 0,5. Это означает, что при вычислении поправки, выраженной через весовой коэффициент (15), ее значение равно 0 и при вычислении постериорной вероятности эта часть исходной карты коррекции не подлежит.
Карта, отражающая изменчивость минерального состава продуктивной толщи, составлена на основе предположения о наличии корреляционной связи между положительной остаточной аномалией магнитного поля с зоной развития песчаников, содержащих примесь ферромагнитных минералов (отложения с высокими показателями емкостных свойств), с одной стороны, и между остаточной отрицательной магнитной аномалией с зоной распространения глинистых образований (отложения с низкими емкостными свойствами), замещающих песчаные фации на востоке, с другой. Последняя связь рассматривается в качестве карты предсказателя В. Ячейкам в контуре положительной остаточной аномалии магнитного поля приписывается предсказатель В1, а площади в контуре отрицательной аномалии - В2. Для переходной зоны между предполагаемыми песчаниками и глинами показатель функции принадлежности определяется как μB(y) =0,5. Как и в случае с предсказателем А, при вычислении поправок это определит WB= 0.
Напомним, что поправочные коэффициенты при вычислении карты постериорной вероятности определяются как

![]()
где
и соответственно другие аналогичные
выражения - условные вероятности предсказателей (таблица).
Шансы с учетом поправок для соответствующих зон вычисляются как
![]()
где
и пересчитываются в постериорную
вероятность
![]()
После введения поправок за счет предсказателей А и В постериорная вероятность распределилась в следующем порядке: область 1 - Рпост = 0,28; область 2 - Рпост = 0,06; область 3 - Рпост= 0,04; область 4 - Рпост = 0,02; область 5 - Рпост = 0,005.
Интерпретируя карту постериорной вероятности, отметим, что хорошие перспективы обнаружения залежей в областях 1 и 2 очевидны, а присутствие небольшой залежи в области 5 следует рассматривать как случайное явление.
При решении проблем нефтегазовой геологии метод нечетких весов может рассматриваться как вспомогательный малозатратный способ при выборе стратегии поисковых работ, позволяющий синтезировать и выражать числом через вероятность разнородную косвенную информацию, используя в ряде случаев признаки, которым ранее не придавалось существенного значения. Вероятностный подход открывает возможности ранжирования частей исследуемой территории в соответствии с их инвестиционной привлекательностью для минимизации коммерческого риска.
Литература
1. Венецкий И.Г. Основные математико-статистические понятия и формулы в экономическом анализе / И.Г. Венецкий, В.И. Венецкая. - М.: Статистика, 1979.
2. Столл Р.Р. Множества. Логика. Аксиоматические теории. - М.: Просвещение, 1968.
3. Bonham-Carter G.F. Weights of evidence modeling: a new approach to mapping mineral potential // G.F. Bonham-Carten, F.P.Agterberg, eds. Statistical applications in the earth sciences: Geol. Survey Canada, 1989.
4. Cheng Q. Fuzzy weights of evidence method and its application in mineral potential mapping / O.Cheng, F.P.Agterberg // Natural resources research. - 1999. - Vol. 8, № 1.
© Коллектив авторов. 2005
The article deals with method of unclear scales intended for clarification of original probability and modelling of its spatial areal distribution in order to reveal zones of increased possibility of oil pools discovery. In this case, selection of forecasters, per se, is a serious research work, because in each case they have, depending on geological conditions, a definite specifics and could not be considered as universal. Performing preliminary analysis to detect forecasters, one should not try to increase their number. Large number could create a false impression of higher objectivity of final results, while that is not at all ensured due to possible and far not always open statistical function between some of the selected forecasters. From this point of view, it is preferably a judiciouse limitation of a number of parameters considered as forecasters.
Таблица Условные вероятности состояний A1, А2, В1 и В2 по отношению к Д
|
Область |
А1 |
А2 |
B1 |
B2 |
Wϻ |
||||||
|
|
|
|
|
|
|
|
|
μ = 1 |
μ= 0,5 |
μ = 0 |
|
|
Локальная положительная гравитационная аномалия (1) |
0,216 |
0,034 |
|
|
|
|
|
|
1,941 |
|
|
|
Локальная отрицательная гравитационная аномалия (5) |
|
|
0,059 |
0,977 |
|
|
|
|
|
|
-2,81 |
|
Промежуточное гравитационное поле (1,5) |
|
|
|
|
|
|
|
|
|
0 |
|
|
Зона развития предполагаемых песчаников (2) |
|
|
|
|
1,220 |
0,867 |
|
|
0,341 |
|
|
|
Зона развития предполагаемых глин (4) |
|
|
|
|
|
|
0,02 |
0,98 |
|
|
-3,89 |
|
Зона переходного состояния от предполагаемых песчаников к глинам (3) |
|
|
|
|
|
|
|
|
|
0 |
|
Примечание. Названия областей см. на рисунке.
Рисунок СХЕМАТИЧЕСКАЯ КАРТА ПОСТЕРИОРНОЙ ВЕРОЯТНОСТИ

1 - залежь УВ; 2- скважины, вскрывшие продуктивный горизонт; значения вероятности: 3 - 0,28; 4 - 0,06; 5 - 0,04: 6 - 0,02; 7 - 0,005: названия областей см. в таблице